解決方案
SOIUTION推薦產品
RECOMMOND聯系我們
Contact聯系人:張經理
手 機:18600516852
電 話:400 0000 439
地 址:北京市昌平區沙河鎮昌平路97號7幢605室


2020年最大的災難莫過于新冠疫情,病毒已經在全世界引起了重大災難,嚴重影響全球經濟發展和人民安全。作為今年最大的一場疾病,全世界都在全力以赴制造相關治療和預防產品。
那小伙伴們見到哪些治療和預防手段呢?
現在的治療手段除了藥物,預防更需要疫苗來進行,截至2020年12月24日,全球已有52種新冠肺炎候選疫苗進入臨床試驗階段,其中13種已進入三期臨床試驗階段,包括5種國產疫苗。
那小伙伴們見到哪些治療和預防手段呢?
第一個上市批準的是德國BioNTech和美國輝瑞共同合作研發的新冠候選疫苗BNT162b2,為mRNA疫苗,當然國內也有mRNA疫苗和滅活疫苗等。
mRNA疫苗是什么呀?以前沒接種過,它是怎么設計出來的?
mRNA疫苗原理是獲取病毒基因序列后,編碼可以表達病毒抗原蛋白的基因mRNA(信使核糖核酸),并將其注入人體內,體內細胞會根據這份“信息”,自己合成病毒的抗原蛋白,模擬病毒傳染,從而誘導人體自身表達對應抗體。原理如下圖所示:

mRNA疫苗有哪些關鍵技術是研發重點呢?
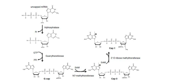
有很多地方可以討論,mRNA疫苗重點在于(1)mRNA的體外合成和優化,比如說,5’帽子優化,UTR優化,ORF優化,Poly(A)尾優化 (2)遞送系統的控制,mRNA進入宿主細胞質有一些挑戰,所以需要高效的遞送系統技術,例如特殊脂質體技術。對于mRNA的加帽技術原理如下圖所示:

疫苗里除了mRNA還有別的成分吧?遞送系統是?
mRNA遞送系統一般是脂質體加聚合物材料,比如所美國上市疫苗里有脂質體和聚乙二醇(PEG)成分,關于質量控制方法,此次指導原則提出建議開展對不同批號的聚合物材料或脂質組分對mRNA的復合或包封效果、納米顆粒結構完整和粒徑均一性的研究,以確保mRNA納米顆粒制劑的均一性和質量可控性,并建議根據研究結果擬定陽離子聚合物或特殊脂質材料可以接受的質量標準。建議申請人明確關鍵原材料/輔料中的雜質殘余及可能影響制劑質量屬性的關鍵要素,擬定的質量標準應含有可充分表征產品相關雜質的純度檢測,如,質譜、核磁、HPLC等方法。
我們的 GC 解決方案包括使您能夠成功進行氣相色譜分析的氣相色譜分析儀、進樣器、檢測器,色譜柱、自動進樣器以及軟件。
Copyright ? 北京京科瑞達科技有限公司 版權所有 工信部ICP備案號:京ICP備09012202號-5